Grado 7 - Periodo 4
Matemáticas

Tema: Expresiones algebraicas
1-Clasificación de expresiones algebraicas. 2-Términos Semejantes. 3-Reducción de términos semejantes. 4-Adición – sustracción y multiplicación de expresiones algebraicas
DBA 7. Plantea y resuelve ecuaciones, las describe verbalmente y representa situaciones de variación de manera numérica, simbólica o gráfica.
Conocimientos previos: números naturales
1. CLASIFICACIÓN DE EXPRESIONES ALGEBRAICAS
Una expresión algebraica es la combinación de números (constantes), letras (variables) y Operaciones matemáticas (suma, resta, multiplicación, etc.) que se utilizan para representar cantidades y relaciones en el lenguaje matemático. Sirve para modelar situaciones del mundo real, permitiendo calcular valores desconocidos o generales de forma abstracta.

Grado absoluto de un término: Es el mayor exponente de las variables presentes en la expresión. Para determinarlo, se analiza el grado de cada término, que es la suma de los exponentes de todas sus variables, y luego se selecciona el grado más alto de entre todos los términos para indicar el grado del polinomio completo. la suma de los exponentes de todas sus variables, y luego se selecciona el grado más alto de entre todos los términos para indicar el grado del polinomio completo.

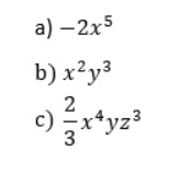
Ejemplo: Para cada uno de los siguientes términos algebraicos, determina su grado:

El término a) es de grado 5 (el de la x)
El término b) es de grado absoluto 5 (2 + 3 = 5)
El término c) es de grado absoluto 8 (4 + 1 + 3 = 8)
Grado relativo de un término: Es el exponente de una variable específica
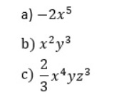
Ejemplo: Para cada

El término a) es de grado relativo 5 respecto a la x.
El término b) es de grado relativo 2 respecto a la x y 3 respecto a la y.
El término c) es de grado relativo 4 respecto a la x, de grado relativo 1 respecto a la y y de grado relativo 3 respecto a la z.

